한국기업평판연구소 빅데이터 분석결과...2위 하나은행 연금, 3위 삼성자산운용 연금 순

한국기업평판연구소는 30개 연금 브랜드에 대한 빅데이터 평판분석을 했다. 지난 3월 22일부터 4월 22일까지의 연금 브랜드 빅데이터 23,843,837개를 분석하여 소비자들의 행동분석을 했다.
브랜드에 대한 평판은 브랜드에 대한 소비자들의 활동 빅데이터를 참여가치, 소통가치, 소셜가치, 시장가치, 재무가치로 나누게 된다. 연금 브랜드평판지수는 참여지수, 미디어지수, 소통지수, 커뮤니티지수로 분석했다.
브랜드평판지수는 소비자들의 온라인 습관이 브랜드 소비에 큰 영향을 끼친다는 것을 찾아내서 브랜드 빅데이터 분석을 통해 만들어진 지표로 브랜드에 대한 긍부정 평가, 미디어 관심도, 소비자의 참여와 소통량, 소셜에서의 대화량, 소비자와 브랜드의 디지털 트랜스포메이션 관계분석으로 측정된다. 브랜드평판 분석에는 브랜드 영향력을 측정한 브랜드 가치평가 분석과 브랜드평판 모니터의 정성평가도 포함했다.
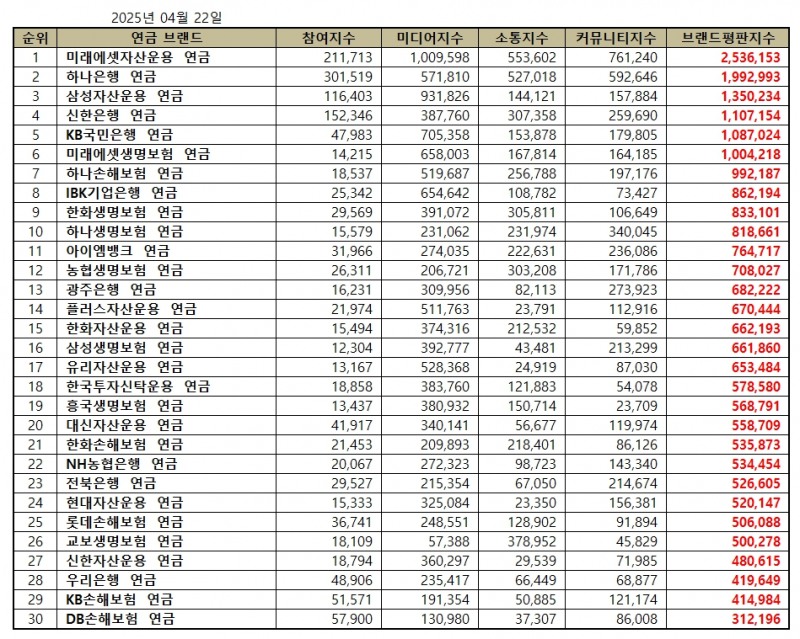
2025년 4월 연금 브랜드평판 30위 순위는 미래에셋자산운용, 하나은행, 삼성자산운용, 신한은행, KB국민은행, 미래에셋생명보험, 하나손해보험, IBK기업은행, 한화생명보험, 하나생명보험, 아이엠뱅크, 농협생명보험, 광주은행, 플러스자산운용, 한화자산운용, 삼성생명보험, 유리자산운용, 한국투자신탁운용, 흥국생명보험, 대신자산운용, 한화손해보험, NH농협은행, 전북은행, 현대자산운용, 롯데손해보험, 교보생명보험, 신한자산운용, 우리은행, KB손해보험, DB손해보험 연금 순으로 나타났다.
연금 브랜드평판 1위를 기록한 미래에셋자산운용 연금 브랜드는 참여지수 211,713 미디어지수 1,009,598 소통지수 553,602 커뮤니티지수 761,240이 되면서 브랜드평판지수 2,536,153으로 분석됐다. 지난 3월 브랜드평판지수 2,506,760과 비교해보면 1.17% 상승했다.
2위, 하나은행 연금 브랜드는 참여지수 301,519 미디어지수 571,810 소통지수 527,018 커뮤니티지수 592,646이 되면서 브랜드평판지수 1,992,993으로 분석됐다. 지난 3월 브랜드평판지수 1,984,245와 비교해보면 0.44% 상승했다.
3위, 삼성자산운용 연금 브랜드는 참여지수 116,403 미디어지수 931,826 소통지수 144,121 커뮤니티지수 157,884가 되면서 브랜드평판지수 1,350,234로 분석됐다. 지난 3월 브랜드평판지수 1,043,393과 비교해보면 29.41% 상승했다.
한국기업평판연구소 구창환 소장은 "연금 브랜드평판 2025년 4월 브랜드 빅데이터 분석결과, 미래에셋자산운용 연금 브랜드가 1위를 기록했다. 연금 브랜드 카테고리를 분석해보니 지난 3월 연금 브랜드 빅데이터 23,364,939개와 비교하면 2.05% 증가했다. 세부 분석을 보면 브랜드소비 36.22% 하락, 브랜드이슈 37.19% 상승, 브랜드소통 28.29% 하락, 브랜드확산 1.25% 상승했다."라고 평판 분석했다.
sglee640@beyondpost.co.kr























